您当前的位置: 首页 >政务公开 >法定主动公开内容 >招聘录用

[ 索引号 ] 115003840086822374/2025-00209 [ 发文字号 ]
[ 主题分类 ] 劳动、人事、监察 [ 体裁分类 ] 公告公示
[ 发布机构 ] 南川区人力社保局
[ 成文日期 ] 2025-11-29 [ 发布日期 ] 2025-11-29

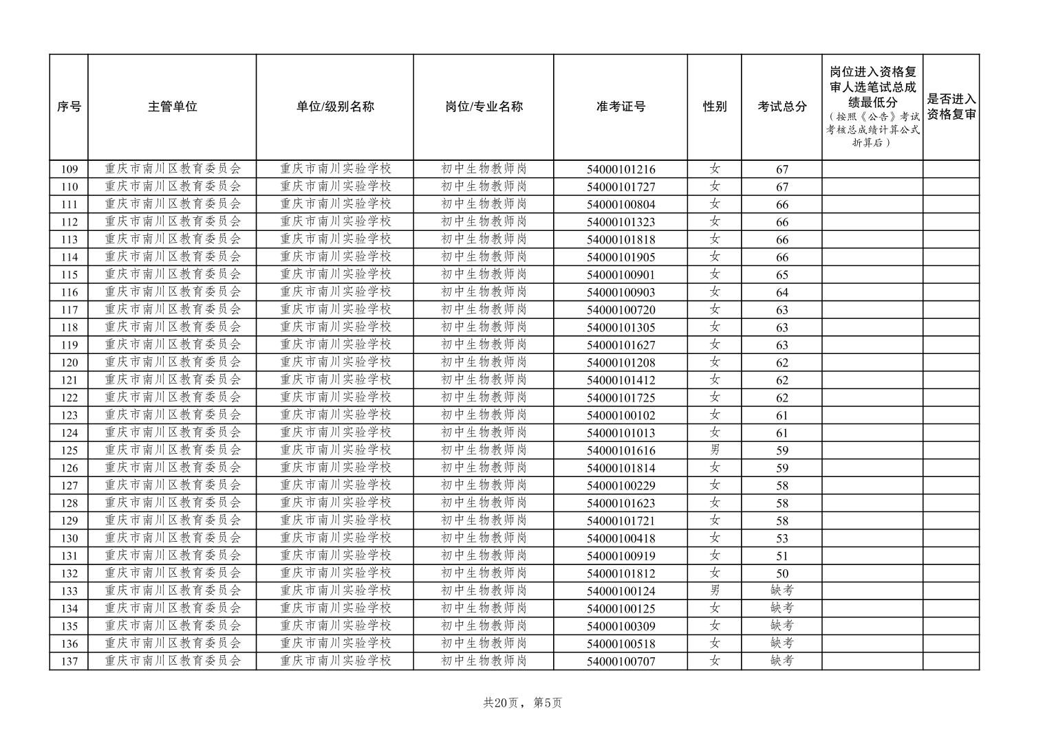
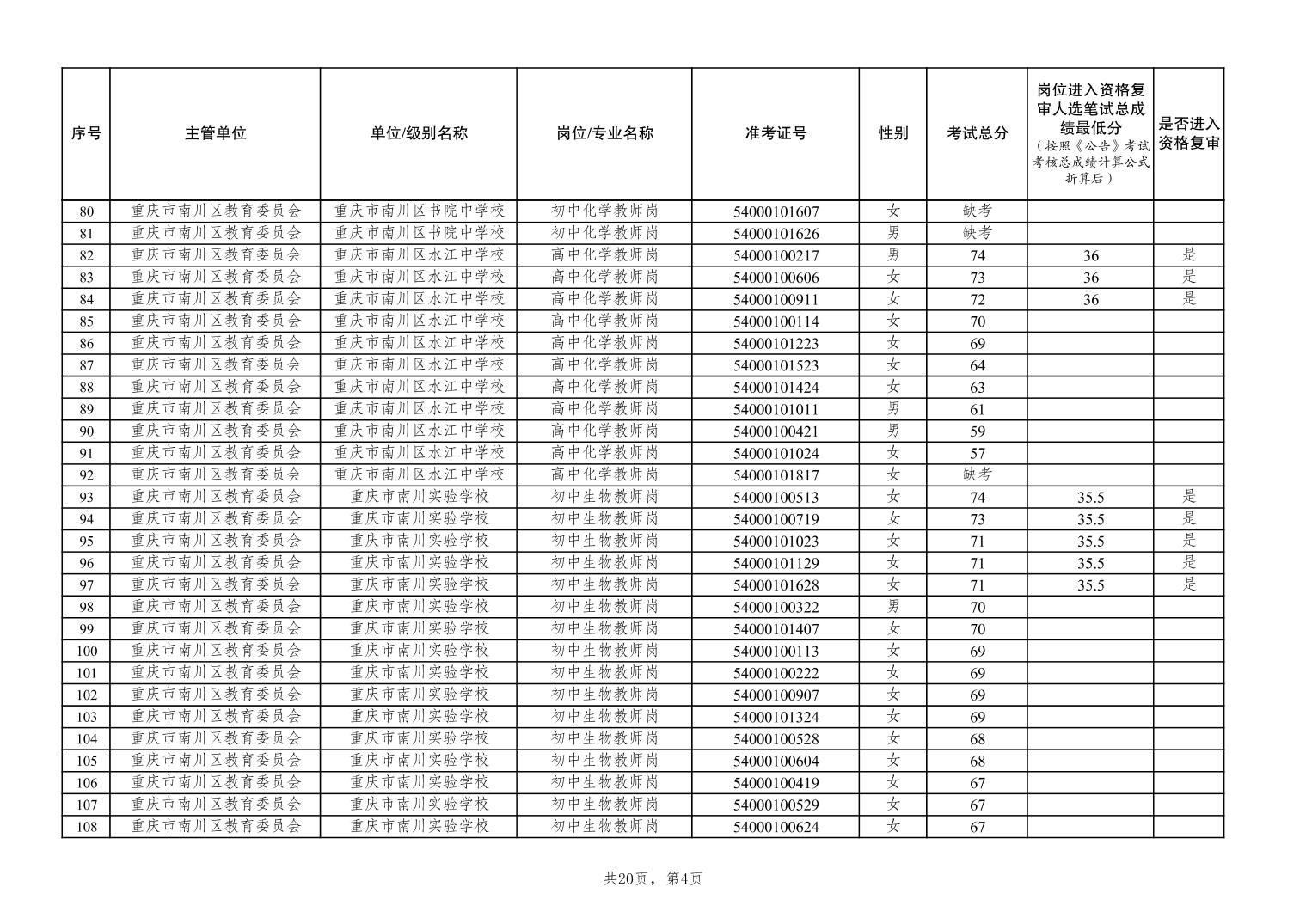
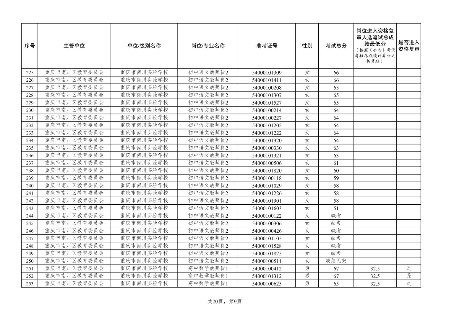
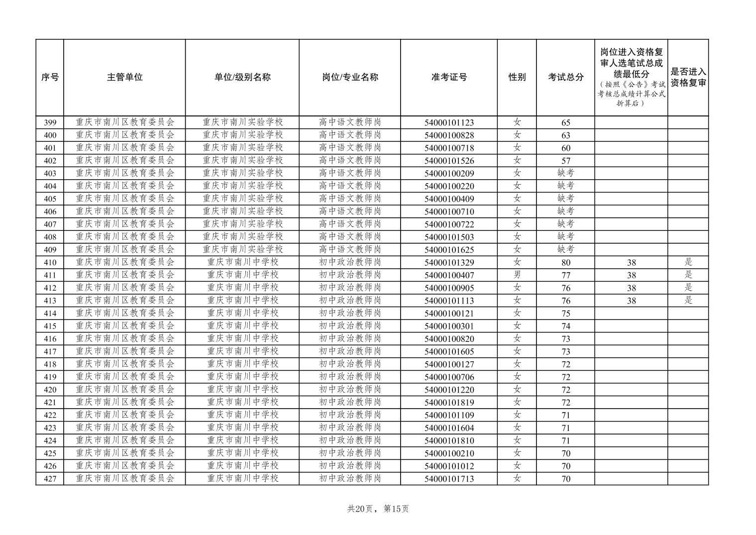
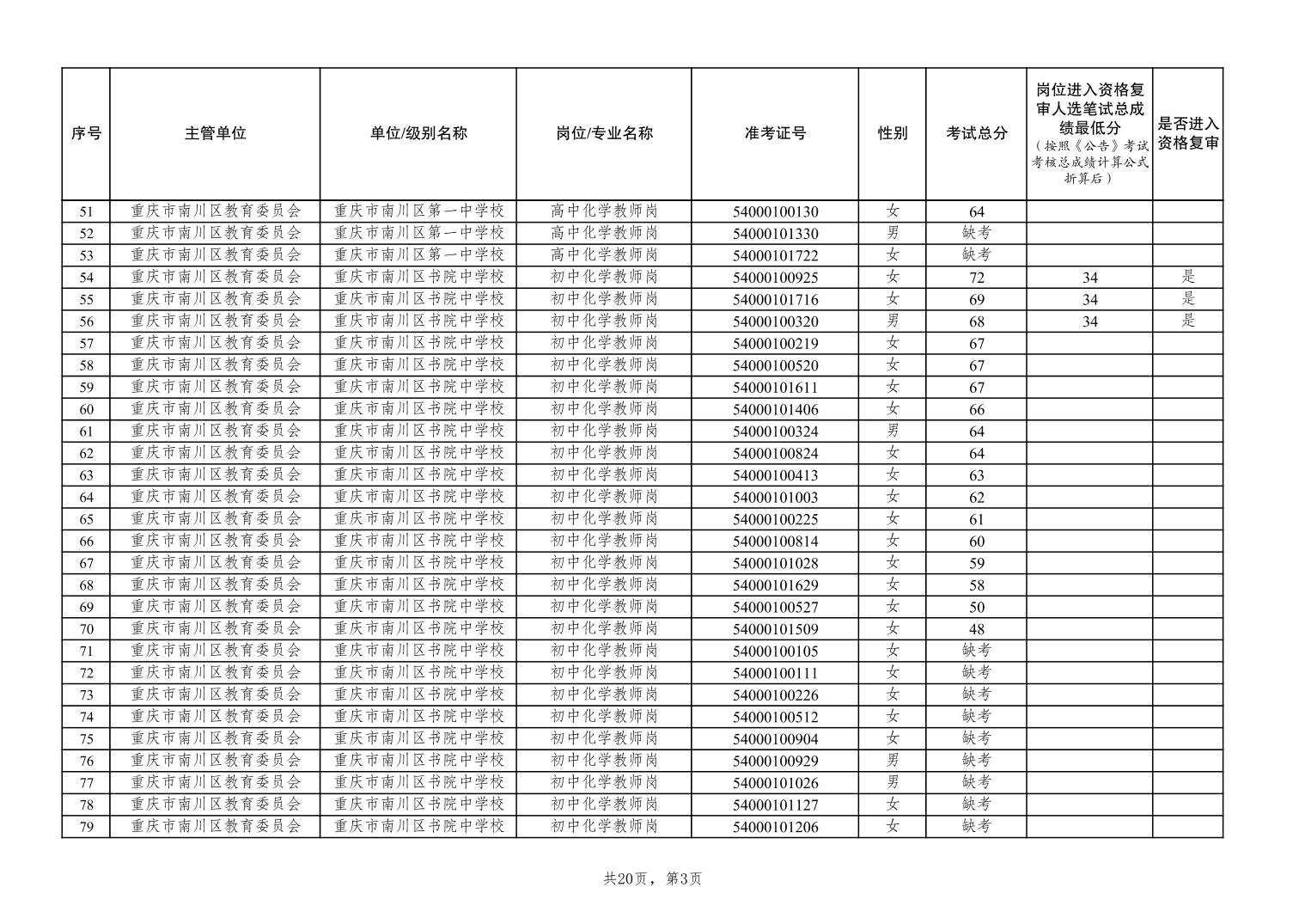
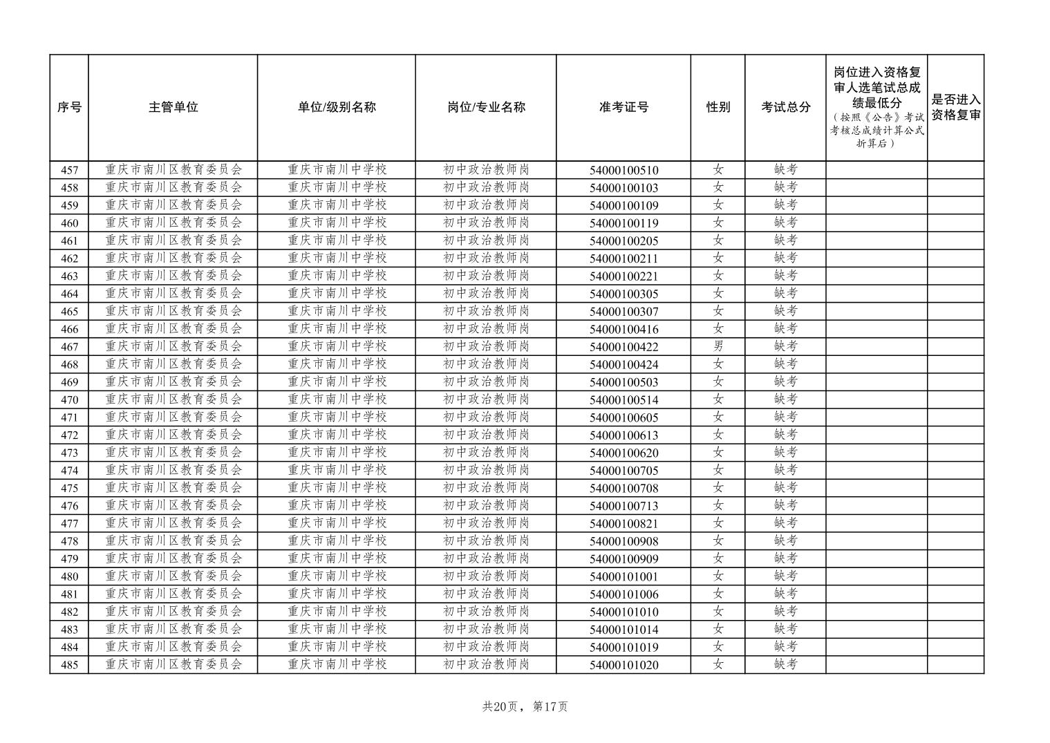
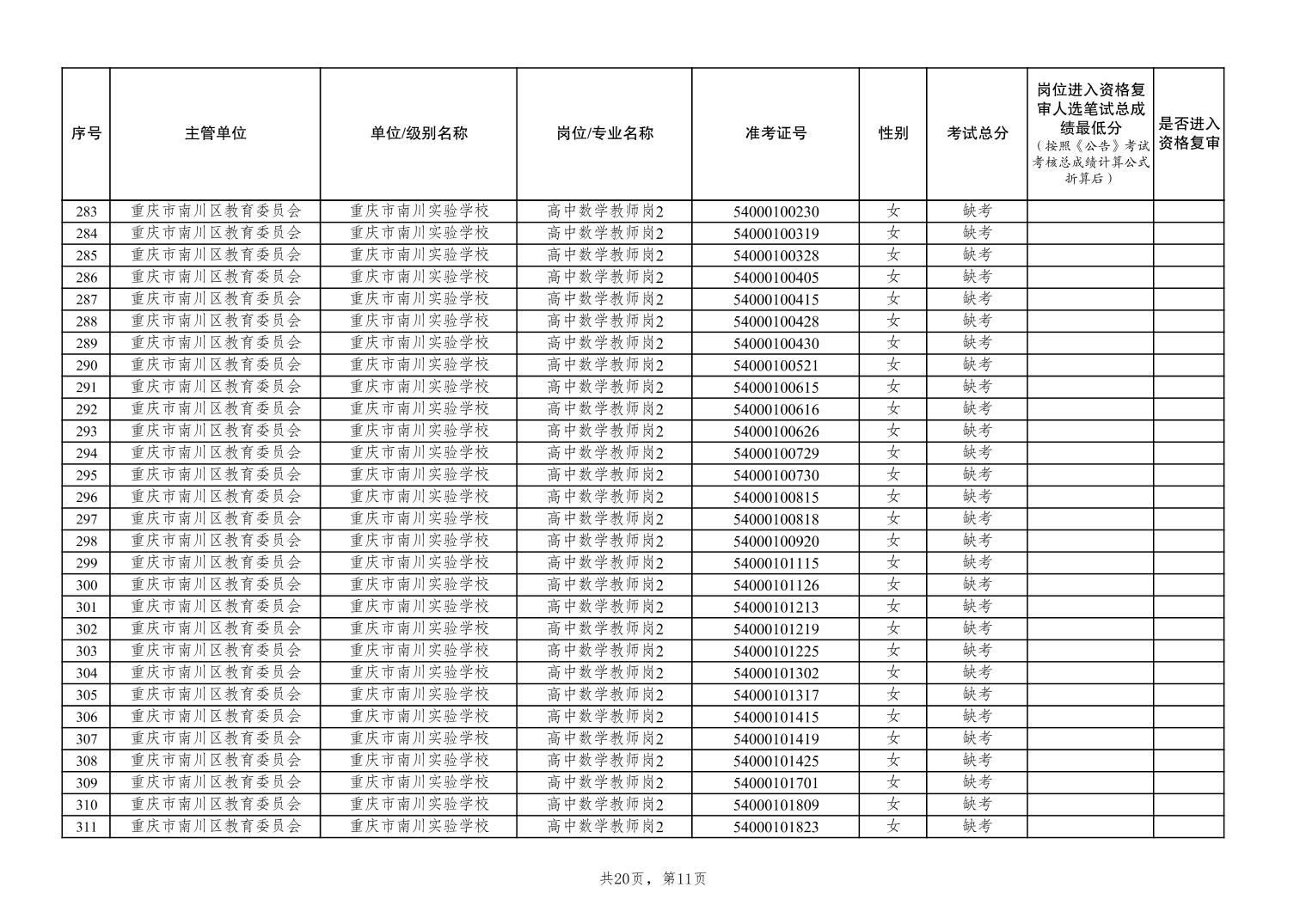
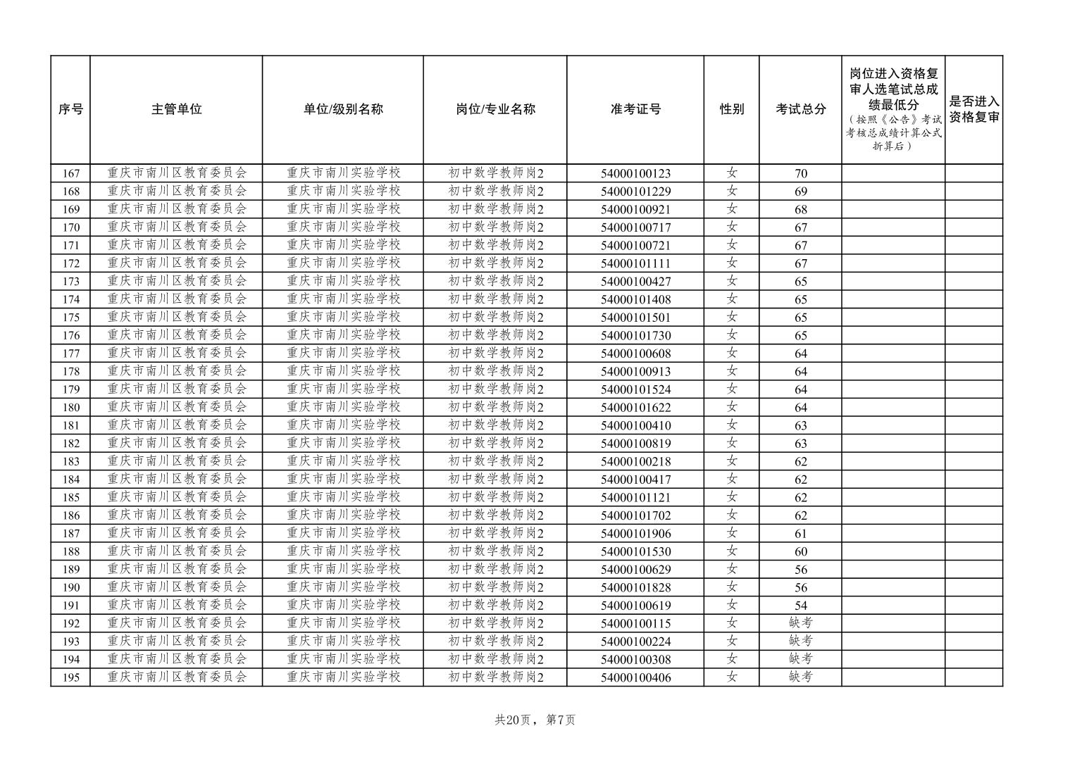
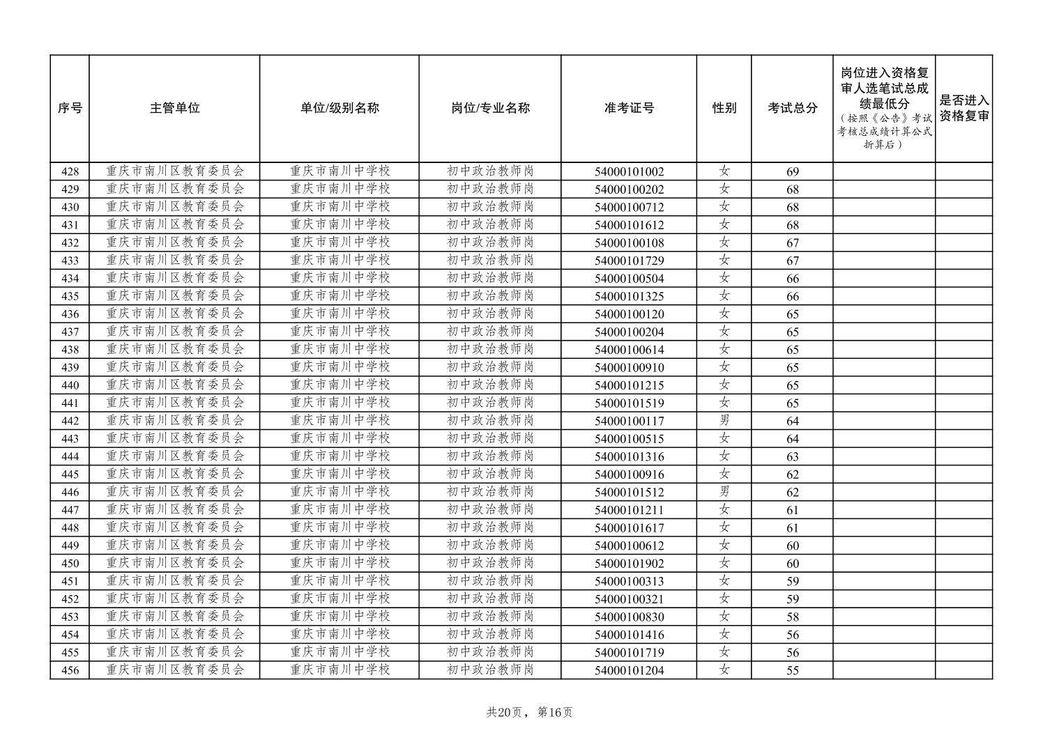
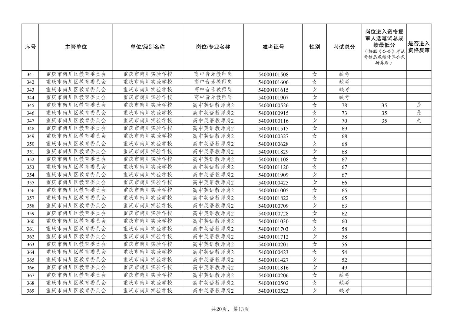
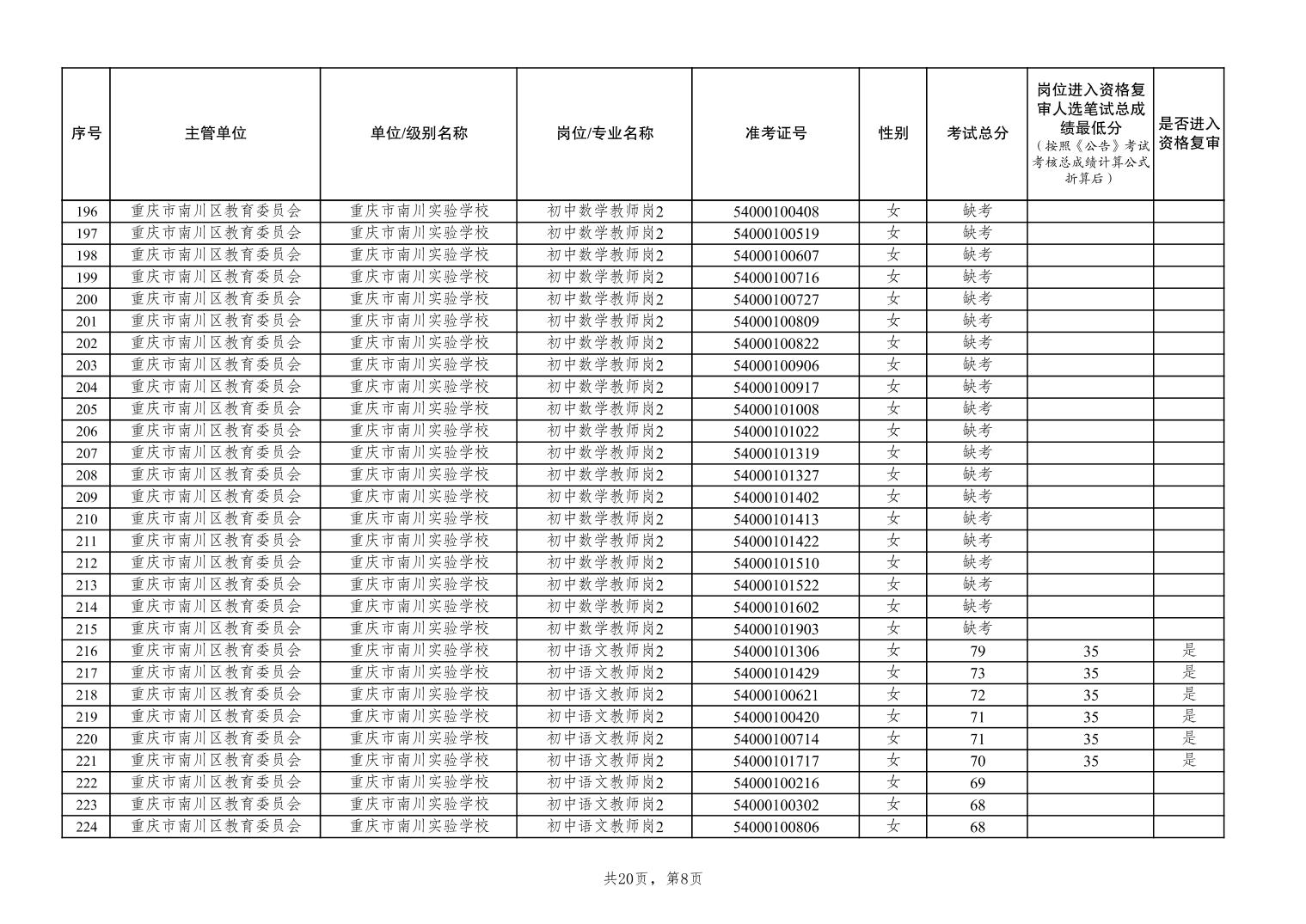
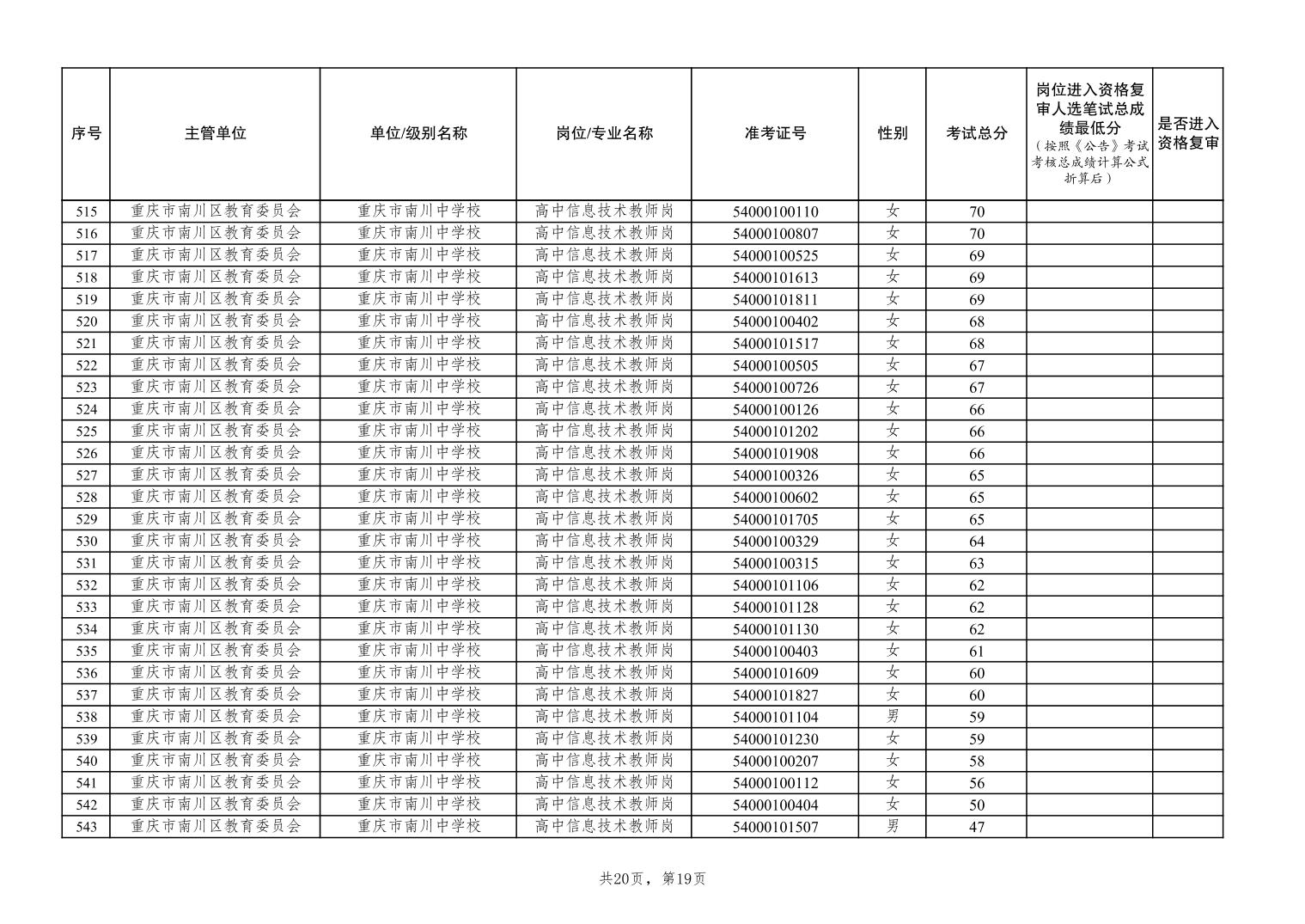
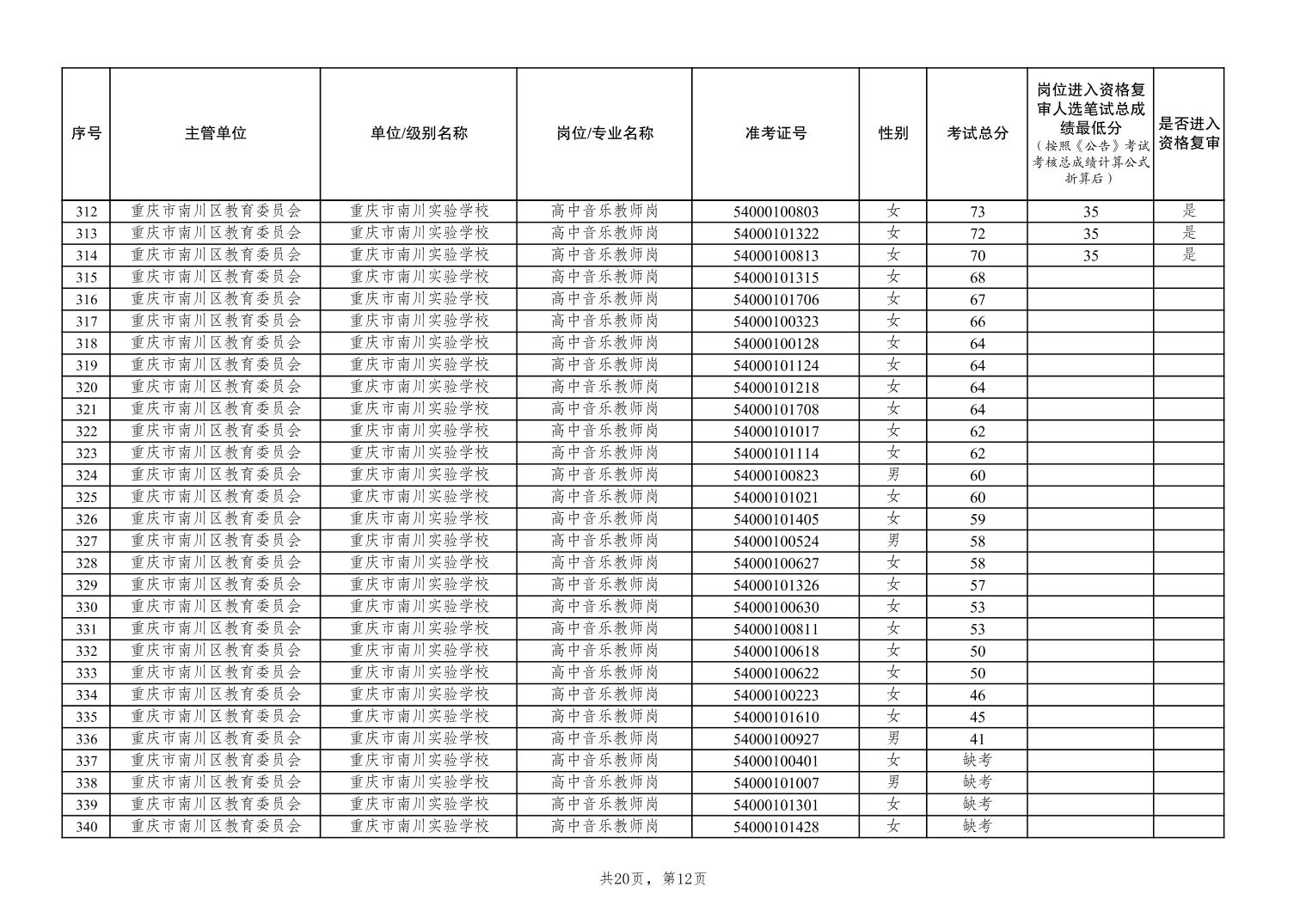
重庆市南川区教育事业单位2025年面向应届高校毕业生考核招聘工作人员笔试成绩、笔试岗位首批进入资格复审人选公布

根据《重庆市南川区教育事业单位2025年面向应届高校毕业生考核招聘工作人员公告》(以下简称《公告》)规定,现将笔试成绩、笔试岗位首批进入资格复审人选公布如下。



扫一扫在手机打开当前页

南川慢直播

微信

智能机器人

无障碍

适老版

我要留言

国务院部门网站

地方政府网站

市政府部门网站

区(县)政府网站

部门街镇网站

重庆市南川区发展和改革委员会 重庆市南川区教育委员会 重庆市南川区科学技术局 重庆市南川区经济和信息化委员会 重庆市南川区公安局 重庆市南川区民政局 重庆市南川区司法局 重庆市南川区财政局 重庆市南川区人力资源和社会保障局 重庆市南川区生态环境局 重庆市南川区住房和城乡建设委员会 重庆市南川区城市管理局 重庆市南川区交通运输委员会 重庆市南川区水利局 重庆市南川区农业农村委员会 重庆市南川区商务委员会 重庆市南川区文化和旅游发展委员会 重庆市南川区卫生健康委员会 重庆市南川区退役军人事务局 重庆市南川区应急管理局 重庆市南川区审计局 重庆市南川区国有资产监督管理委员会 重庆市南川区统计局 重庆市南川区医疗保障局 重庆市南川区林业局 重庆市南川区信访办公室 重庆市南川区大数据应用发展管理局 重庆市南川区招商投资促进局 重庆市南川区政务服务管理办公室 重庆市南川区东城街道办事处 重庆市南川区南城街道办事处 重庆市南川区西城街道办事处 重庆市南川区南平镇人民政府 重庆市南川区水江镇人民政府 重庆市南川区大观镇人民政府 重庆市南川区兴隆镇人民政府 重庆市南川区太平场镇人民政府 重庆市南川区白沙镇人民政府 重庆市南川区黎香湖镇人民政府 重庆市南川区乾丰镇人民政府 重庆市南川区河图镇人民政府 重庆市南川区木凉镇人民政府 重庆市南川区神童镇人民政府 重庆市南川区石莲镇人民政府 重庆市南川区鸣玉镇人民政府 重庆市南川区石溪镇人民政府 重庆市南川区福寿镇人民政府 重庆市南川区冷水关镇人民政府 重庆市南川区民主镇人民政府 重庆市南川区峰岩乡人民政府 重庆市南川区骑龙镇人民政府 重庆市南川区中桥乡人民政府 重庆市南川区石墙镇人民政府 重庆市南川区楠竹山镇人民政府 重庆市南川区金山镇人民政府 重庆市南川区头渡镇人民政府 重庆市南川区德隆镇人民政府 重庆市南川区合溪镇人民政府 重庆市南川区古花镇人民政府 重庆市南川区庆元镇人民政府 重庆市南川区大有镇人民政府 重庆市南川区三泉镇人民政府 重庆市南川区山王坪镇人民政府 重庆市南川区规划和自然资源局 重庆市南川区市场监督管理局